Elektrische Widerstand: CONSTI-Glossary

GLOSSARY A-B-C-D-E-F-G-H-I-J-K-L-M-N-O-P-Q-R-S-T-U-V-W-X-Y-Z

Deutsch

Elektrische Widerstand

English

Electrical resistance

Beschreibung

Der elektrische Widerstand eines Bauteils oder Gerätes gibt an, welche Spannung für einen elektrischen Strom der Stärke 1A erforderlich ist.

Formel

U = Elektrische Spannung
I = Stromstärke

Einheit

Ω : Ohm

Extra Info
Erklärung

Der elektrische Widerstand eines Leiters gibt an, wie Stark der Stromfluss in diesem Leiter behindert wird.

Schaltzeichen

Produkt

Widerstände (Resistors):

Messgerät

Ohmmeter

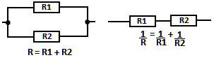
Schaltplan

Erklärung

Der spezifische elektrische Widerstand von metallischen Leiter ist in der Regel umso größer, je höher deren Temperatur ist.

Ampere,
Volt,
Ohm

Formeln

Überblick

Übungen
Übung 1

Durch ein 40W Glühlampe fließt bei einer Temperatur des Glühfadens von ca. 2500°C und
einer Spannung von 230V eine Stromstärke von 175 mA.
Berechne den elektrischen Widerstand der Glühlampe bei Betriebstemperatur!

Antwort

Übung 2

Berechne in der folgenden Tabelle die fehlenden Größen.

Antwort

Übung 3

Ein 1km langes Starkstromkabel besteht aus drei Kupferleitungen mit Querschnittsflächen von je 300 mm2.
Wie groß ist der elektrischen Widerstand dieses Kabels?

Antwort